10 أسئلة فى مادة الجبر لطلاب الثانوية العامة.. خطوات الإجابة النموذجية

الأحد، 01 يونيو 2025 07:55 م
10 أسئلة فى مادة الجبر لطلاب الثانوية العامة.. خطوات الإجابة النموذجية امتحانات الثانوية العامة

محمد عبد الرحمن

في إطار التغطية التعليمية المتكاملة، يطرح "اليوم السابع" المراجعة النهائية لمادة الجبر، إحدى الركائز الأساسية في فرع الرياضيات لطلاب الثانوية العامة. تتناول المراجعة أهم القوانين والنظريات، مع تدريبات مركزة على حل المسائل المعقدة والمتكررة في الامتحانات السابقة.

وتم إعداد المراجعة على يد نخبة من معلمي الرياضيات المتخصصين، الذين قدموا شروحات مبسطة مع خطوات الحل النموذجي لكل مسألة، مع الإشارة إلى الأخطاء الشائعة وكيفية تجنبها أثناء الحل.

ويسعى "اليوم السابع" من خلال هذه الخدمة إلى تعزيز ثقة الطلاب بأنفسهم، وتوفير مادة مراجعة مركزة تغنيهم عن مصادر متعددة وتساعدهم في تحقيق أقصى استفادة في ليلة الامتحان.

 

1
 

 

2
 

 

3
 

 

4
 

 

5
 

 

6
 

 

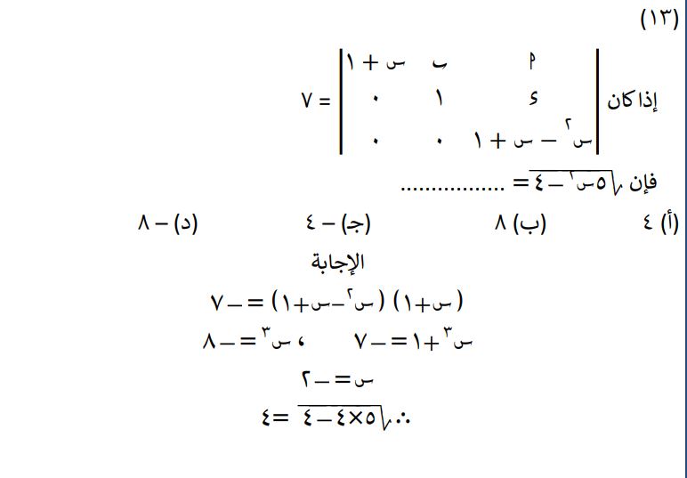
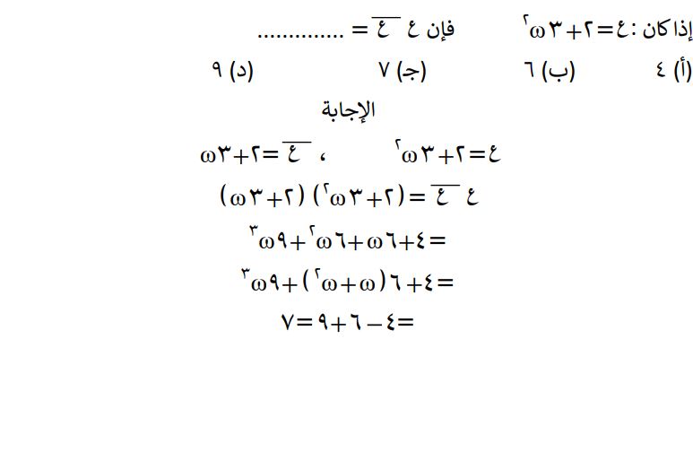
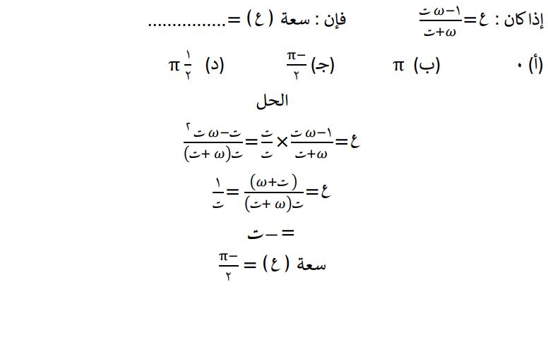
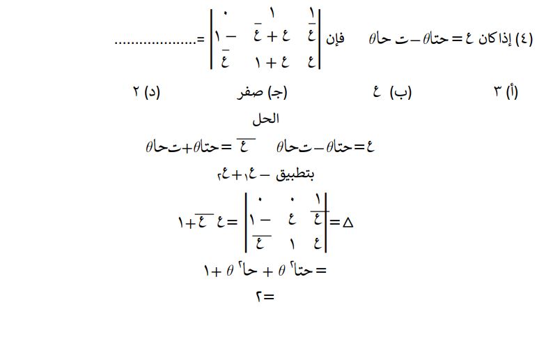
7
 

 

8
 

 

9
 

 

10
 

للمزيد من النماذج والمراجعات الكاملة.. زوروا بوابة الثانوية العامة

ومن جانبها، أكدت وزارة التربية والتعليم والتعليم الفني أن امتحان الجبر للثانوية العامة هذا العام سيكون مطابقًا للمواصفات التي تضمن قياس نواتج التعلم بشكل حقيقي، ويراعي مستويات الطلاب المختلفة من خلال التدرج في صعوبة الأسئلة، على أن يكون الامتحان بالكامل من داخل المنهج المُقرر على طلاب الصف الثالث الثانوي.




أخبار اليوم السابع على Gogole News تابعوا آخر أخبار اليوم السابع عبر Google News
قناة اليوم السابع على الواتساب اشترك في قناة اليوم السابع على واتساب



الرجوع الى أعلى الصفحة