كبسولة التفاضل والتكامل.. أسئلة مش هيخرج عنها امتحان الثانوية العامة

الأحد، 25 مايو 2025 08:45 م
كبسولة التفاضل والتكامل.. أسئلة مش هيخرج عنها امتحان الثانوية العامة امتحانات الثانوية العامة

محمد عبد الرحمن

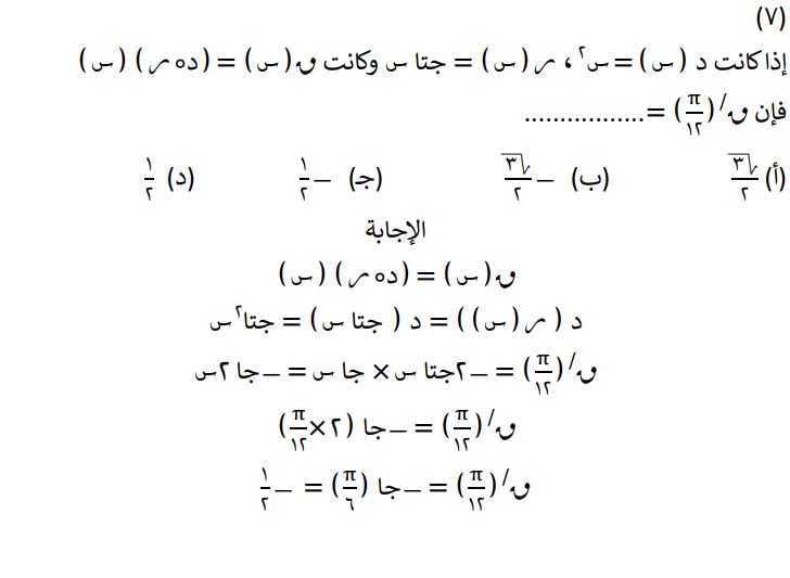
يقدم "اليوم السابع" مراجعة شاملة ومبسطة لمادة التفاضل والتكامل، لطلاب الثانوية العامة، تغطي قواعد الاشتقاق، وتطبيقاتها، والتكامل بأنواعه المختلفة، مع عرض لمجموعة كبيرة من المسائل محلولة خطوة بخطوة.

كما تتيح المراجعة للطلاب تدريبات عملية ونماذج امتحانية متوقعة تُعدهم ذهنيًا وعمليًا للاختبار النهائي.

1
1

 

2
2

 

3
3

 

4
4

 

5
5

للاطلاع على باقي المراجعات النهائية والنماذج المقررة.. يمكنكم زيارة بوابة الثانوية العامة

من جانبها، أكدت وزارة التربية والتعليم والتعليم الفني أن امتحان التفاضل والتكامل للعام الدراسي 2024-2025 سيأتي بالكامل من محتوى المنهج المقرر، مع التزام تام بمواصفات الورقة الامتحانية المعتمدة، والتي تراعي تنوع مستويات الأسئلة بما يتيح الفرصة لجميع الطلاب لإبراز مستوى تحصيلهم وفهمهم العلمي بدقة.




أخبار اليوم السابع على Gogole News تابعوا آخر أخبار اليوم السابع عبر Google News
قناة اليوم السابع على الواتساب اشترك في قناة اليوم السابع على واتساب


الموضوعات المتعلقة


الرجوع الى أعلى الصفحة