ينشر اليوم السابع نتيجة قرعة الحج لعام 2025 بجميع مراكز ومدن محافظة المنوفية.
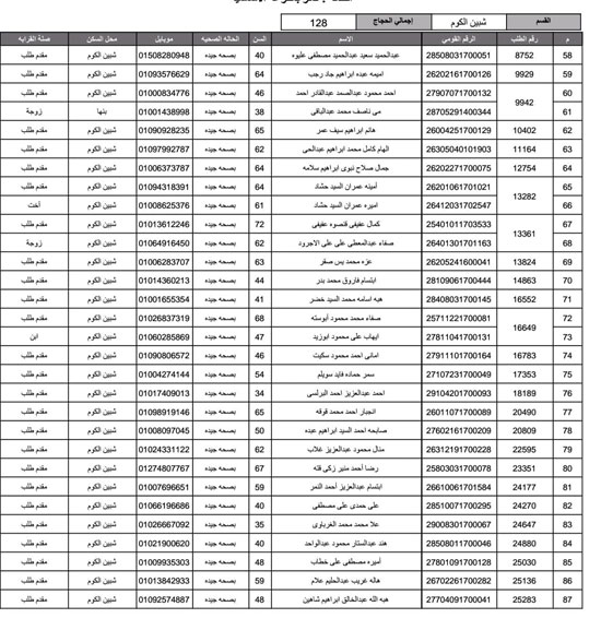
وكانت مديرية أمن المنوفية، قد أعلنت عن فوز 1542 فى قرعة الحج لعام 2025 ، والتى أجريت اليوم بالصالة المغطاة بستى كلوب بمدينة شبين الكوم بمحافظة المنوفية، وتم إعلان الأسماء الفائزة بالقرعة المباشرة، وسط تواجد أمنى مكثف من قبل قوات الأمن بمديرية أمن المنوفية، بحضور اللواء علاء الجاحر مدير أمن المنوفية، واللواء أحمد خيرى مدير المباحث الجنائية، وعدد من القيادات الأمنية والتنفيذية.
نتيجة حج القرعة بمحافظة المنوفية
وسوف تنشر الكشوف النهائية عبر الموقع الرسمي لوزارة الداخلية ومديرية أمن المنوفية، تحقيقا لمبدأ الوضوح وإتاحة النتائج أمام جميع المتقدمين بشفافية تامة، بحضور اللواء علاء الجاحر مدير أمن المنوفية، واللواء أحمد خيرى مدير المباحث الجنائية ،وعدد من القيادات الأمنية والتنفيذية، في إطار حرص وزارة الداخلية على تطبيق أعلى معايير الشفافية وتكافؤ الفرص بين المتقدمين من مختلف مراكز المحافظة.
عدد المتقدمين للحج هذا العام بمحافظة المنوفية
وكان قد تقدم القرعة الحج هذا العام بجميع مراكز محافظة المنوفية، قرابة 5 آلاف من الرجال والسيدات بجميع أنحاء المحافظة.
.jpg)
أسماء-الفائزين-فى-قرعة-الحج-بمحافظة-المنوفية-(1)
.jpg)
أسماء-الفائزين-فى-قرعة-الحج-بمحافظة-المنوفية-(2)
.jpg)
أسماء-الفائزين-فى-قرعة-الحج-بمحافظة-المنوفية-(3)
.jpg)
أسماء-الفائزين-فى-قرعة-الحج-بمحافظة-المنوفية-(4)
.jpg)
أسماء-الفائزين-فى-قرعة-الحج-بمحافظة-المنوفية-(5)
.jpg)
أسماء-الفائزين-فى-قرعة-الحج-بمحافظة-المنوفية-(6)
.jpg)
أسماء-الفائزين-فى-قرعة-الحج-بمحافظة-المنوفية-(7)
.jpg)
أسماء-الفائزين-فى-قرعة-الحج-بمحافظة-المنوفية-(8)
.jpg)
أسماء-الفائزين-فى-قرعة-الحج-بمحافظة-المنوفية-(9)
.jpg)
أسماء-الفائزين-فى-قرعة-الحج-بمحافظة-المنوفية-(10)
.jpg)
أسماء-الفائزين-فى-قرعة-الحج-بمحافظة-المنوفية-(11)
.jpg)
أسماء-الفائزين-فى-قرعة-الحج-بمحافظة-المنوفية-(12)
.jpg)
أسماء-الفائزين-فى-قرعة-الحج-بمحافظة-المنوفية-(13)
.jpg)
أسماء-الفائزين-فى-قرعة-الحج-بمحافظة-المنوفية-(14)
.jpg)
أسماء-الفائزين-فى-قرعة-الحج-بمحافظة-المنوفية-(15)
.jpg)
أسماء-الفائزين-فى-قرعة-الحج-بمحافظة-المنوفية-(16)
.jpg)
أسماء-الفائزين-فى-قرعة-الحج-بمحافظة-المنوفية-(17)
.jpg)
أسماء-الفائزين-فى-قرعة-الحج-بمحافظة-المنوفية-(18)
.jpg)
أسماء-الفائزين-فى-قرعة-الحج-بمحافظة-المنوفية-(19)
.jpg)
أسماء-الفائزين-فى-قرعة-الحج-بمحافظة-المنوفية-(20)
.jpg)
أسماء-الفائزين-فى-قرعة-الحج-بمحافظة-المنوفية-(21)
.jpg)
أسماء-الفائزين-فى-قرعة-الحج-بمحافظة-المنوفية-(22)
.jpg)
أسماء-الفائزين-فى-قرعة-الحج-بمحافظة-المنوفية-(23)
.jpg)
أسماء-الفائزين-فى-قرعة-الحج-بمحافظة-المنوفية-(24)
.jpg)
أسماء-الفائزين-فى-قرعة-الحج-بمحافظة-المنوفية-(25)
.jpg)
أسماء-الفائزين-فى-قرعة-الحج-بمحافظة-المنوفية-(26)
.jpg)
أسماء-الفائزين-فى-قرعة-الحج-بمحافظة-المنوفية-(27)
.jpg)
أسماء-الفائزين-فى-قرعة-الحج-بمحافظة-المنوفية-(28)
.jpg)
أسماء-الفائزين-فى-قرعة-الحج-بمحافظة-المنوفية-(29)
.jpg)
أسماء-الفائزين-فى-قرعة-الحج-بمحافظة-المنوفية-(30)
.jpg)
أسماء-الفائزين-فى-قرعة-الحج-بمحافظة-المنوفية-(31)
.jpg)
أسماء-الفائزين-فى-قرعة-الحج-بمحافظة-المنوفية-(32)
.jpg)
أسماء-الفائزين-فى-قرعة-الحج-بمحافظة-المنوفية-(33)
.jpg)
أسماء-الفائزين-فى-قرعة-الحج-بمحافظة-المنوفية-(34)
.jpg)
أسماء-الفائزين-فى-قرعة-الحج-بمحافظة-المنوفية-(35)
.jpg)
أسماء-الفائزين-فى-قرعة-الحج-بمحافظة-المنوفية-(36)
.jpg)
أسماء-الفائزين-فى-قرعة-الحج-بمحافظة-المنوفية-(37)
.jpg)
أسماء-الفائزين-فى-قرعة-الحج-بمحافظة-المنوفية-(38)
.jpg)
أسماء-الفائزين-فى-قرعة-الحج-بمحافظة-المنوفية-(39)
.jpg)
أسماء-الفائزين-فى-قرعة-الحج-بمحافظة-المنوفية-(40)
.jpg)
أسماء-الفائزين-فى-قرعة-الحج-بمحافظة-المنوفية-(41)
.jpg)
أسماء-الفائزين-فى-قرعة-الحج-بمحافظة-المنوفية-(42)
.jpg)
أسماء-الفائزين-فى-قرعة-الحج-بمحافظة-المنوفية-(43)
.jpg)
أسماء-الفائزين-فى-قرعة-الحج-بمحافظة-المنوفية-(44)
.jpg)
أسماء-الفائزين-فى-قرعة-الحج-بمحافظة-المنوفية-(45)
.jpg)
أسماء-الفائزين-فى-قرعة-الحج-بمحافظة-المنوفية-(46)
.jpg)
أسماء-الفائزين-فى-قرعة-الحج-بمحافظة-المنوفية-(47)
.jpg)
أسماء-الفائزين-فى-قرعة-الحج-بمحافظة-المنوفية-(48)
.jpg)
أسماء-الفائزين-فى-قرعة-الحج-بمحافظة-المنوفية-(49)
.jpg)
أسماء-الفائزين-فى-قرعة-الحج-بمحافظة-المنوفية-(50)
.jpg)
أسماء-الفائزين-فى-قرعة-الحج-بمحافظة-المنوفية-(51)
.jpg)
أسماء-الفائزين-فى-قرعة-الحج-بمحافظة-المنوفية-(52)
.jpg)
أسماء-الفائزين-فى-قرعة-الحج-بمحافظة-المنوفية-(53)